中华人民共和国商务部于2009年2月1日正式收到广东肇庆星湖生物科技股份有限公司代表国内核苷酸类食品添加剂产业提交的反倾销调查申请,申请人请求对原产于印度尼西亚和泰国的进口核苷酸类食品添加剂进行反倾销调查。
商务部依据《中华人民共和国反倾销条例》的有关规定,对申请人的资格、申请调查产品的有关情况、中国同类产品的有关情况、申请调查产品对国内产业的影响、申请调查国家的有关情况等进行了审查。同时,商务部就申请书中提供的涉及倾销、损害及倾销与损害之间的因果关系等方面的证据进行了审查。申请人提供的初步证据表明,2005年、2006年、2007年、2008年1月至9月,申请人广东肇庆星湖生物科技股份有限公司核苷酸类食品添加剂年产量占同期中国大陆同类产品总产量的50%以上,符合《中华人民共和国反倾销条例》第十一条、第十三条和第十七条有关国内产业提出反倾销调查申请的规定。同时,申请书中包含了《中华人民共和国反倾销条例》第十四条、十五条规定的反倾销调查立案所要求的内容及有关证据。
根据上述审查结果及《中华人民共和国反倾销条例》第十六条的规定,商务部决定自2009年3月24日起对原产于印度尼西亚和泰国的进口核苷酸类食品添加剂进行反倾销立案调查。现将有关事项公告如下:
一、立案调查及调查期
自本公告发布之日起,商务部对原产于印度尼西亚和泰国的进口核苷酸类食品添加剂进行反倾销调查,本次调查确定的倾销调查期为2007年10月1日至2008年9月30日,产业损害调查期为2005年1月1日至2008年9月30日。
二、被调查产品及调查范围
调查范围:原产于印度尼西亚和泰国的进口核苷酸类食品添加剂
被调查产品名称:核苷酸类食品添加剂,包括3种产品,即5’-肌苷酸二钠、5’-鸟苷酸二钠和呈味核苷酸二钠,分别可简称为IMP、GMP和I加G (英文分别为Disodium 5’-Inosinate、Disodium 5’-Guanylate和Disodium 5’-Ribonucleotide)。被调查产品范围不包括同属于核苷酸类的腺苷酸(5’-AMP)、胞苷酸(5’-CMP)、尿苷酸(5’-UMP)及ATP等核酸类产品。
产品种类:食品添加剂
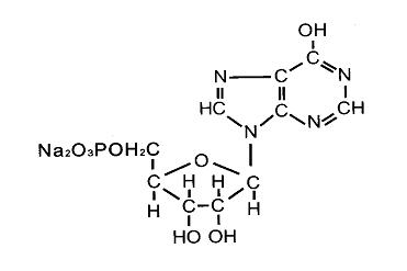
产品描述:(一)关于5’-肌苷酸二钠。其分子式为C10H11N4Na2O8P?7.5H2O(不含水分子的化学分子式为:C10H11N4Na2O8P),分子量为527.25(不含水分子的分子量为392.17),结构式为 
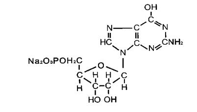
(二)关于5’-鸟苷酸二钠。其分子式为C10H12N5Na2O8P?7H2O(不含水分子的化学分子式为:C10H12N5Na2 O8P),分子量为533.26(不含水分子的分子量为407.19),结构式为 
(三)关于呈味核苷酸二钠(即I加G)。其中含有不低于97%、不高于102%的C10H11N4Na2O8P和C10H12N5Na2O8P当量。IMP和GMP在I加G中所占的比例在48%和52%之间。
物理化学特征:IMP、GMP和I加G均为无色或白色的结晶或白色粉末;PH值均在7.0-8.5之间;均易溶于水,微溶于乙醇,几乎不溶于乙醚。
主要用途:食品增鲜剂,用于味精、鸡精、酱油等调味品中以提高鲜度。
该产品归在《中华人民共和国进出口税则》:29349990(2006年5月12日前为29349930)、38249090(2008年为38249099)。
三、登记应诉
就倾销调查,任何利害关系方可于本公告发布之日起20天内,向商务部进出口公平贸易局申请参加应诉,参加应诉的涉案出口商或生产商同时应提供2007年10月至2008年9月向中国出口本案被调查产品的数量及金额。《倾销调查应诉登记参考格式》可在中华人民共和国商务部网站进出口公平贸易局子网站(网址为http://gpj.mofcom.gov.cn)“公告”栏目下载。
就产业损害调查,利害关系方可自本公告发布之日起20天内,向商务部产业损害调查局登记应诉,同时应提供产业损害调查期内的生产能力、产量、库存、在建和扩建计划以及向中国出口本案被调查产品的数量和金额等说明材料。《参加核苷酸类食品添加剂反倾销案产业损害调查活动申请表》可在“中国贸易救济信息网”上应诉登记栏目下载,网址为:http://www.cacs.gov.cn。
四、不登记应诉
如利害关系方未在本公告规定的时间内向商务部登记应诉,则商务部有权拒绝接受其递交的有关材料,并有权根据所掌握的现有材料做出裁定。
五、利害关系方的权利
利害关系方对本次调查的产品范围、申请人资格、被调查国家及其他相关问题如有异议,可以于本公告发布之日起20天内将意见书面提交商务部。
利害关系方可以在上述期间内到商务部反倾销公开信息查阅室查阅本案申请人提交的申请书的非保密文本。
六、调查方式
调查机关可以采用问卷、抽样、听证会、现场核查等方式向有关利害关系方了解情况并进行调查。
七、本次调查自2009年3月24日起开始,通常应在2010年3月24日前结束调查,特殊情况下可延长至2010年9月 24日。
八、商务部联系地址:
北京市东长安街2号 邮编:100731
商务部进出口公平贸易局
电话:86-10-65198746 65198747
传真:86-10-65198164
商务部产业损害调查局
电话:86-10-65198054 65198070
传真:86-10-65197583
特此公告
中华人民共和国商务部
二〇〇九年三月二十四日
附件下载:
核苷酸类食品添加剂反倾销调查应诉登记表.doc
京公网安备 11010802021794号